J'ai du mal à voir comment cela pourrait arriver vu que l'image qui arrive sur le capteur CCD est passée avant dans le correcteur cosinus (qui est un diffuseur comme un verre dépoli) puis ensuite dans le grating qui décompose spectralement la lumière. Donc par exemple tous les sous-pixels rouges présents ds le FOV couvert par le tube vont atterrir dans les pixels CCD qui correspondent à l'intervalle 630-700 mm.Si l'appareil n'est pas prévu pour ça, il faut qu'on prenne garde aux effets de moire dus au pitch des sous-pixels de l'écran. Le plan focal image de l'écran doit être le plus éloigné possible du capteur. On ne veut surtout pas que, sur la longueur de notre capteur, se forme des images successives de sous-pixels rouge, vert et bleu de notre dalle.
Bonjour à tous.
Vous pouvez désormais, si l'envie vous en dit, soutenir SoundPixelLab - Vous retrouverez les informations sur ce lien en dessous
Soutenir SoundPixelLab
Merci à vous !
Vous pouvez désormais, si l'envie vous en dit, soutenir SoundPixelLab - Vous retrouverez les informations sur ce lien en dessous
Soutenir SoundPixelLab
Merci à vous !
Les sondes de calibration
-
Emmanuel Piat
- 67 dB
- Messages : 142
- Enregistré le : 11 janv. 2026, 11:26
Re: Les sondes de calibration
Modifié en dernier par Emmanuel Piat le 01 mars 2026, 07:43, modifié 1 fois.
Re: Les sondes de calibration
Ah mais on met le tube devant le diffuseur ?
Je croyais qu'on enlevait le diffuseur pour le remplacer par un tube, moi.
Je croyais qu'on enlevait le diffuseur pour le remplacer par un tube, moi.
-
Emmanuel Piat
- 67 dB
- Messages : 142
- Enregistré le : 11 janv. 2026, 11:26
Re: Les sondes de calibration
On ne touche surtout pas au diffuseur (représenté par des "#" dans mon schéma au-dessus).
-
Emmanuel Piat
- 67 dB
- Messages : 142
- Enregistré le : 11 janv. 2026, 11:26
Re: Les sondes de calibration

La courbe rouge est la réponse idéale du correcteur cosinus en fonction de $\theta$. La courbe bleue est la réponse moyenne qui est obtenue pour l"ensemble des longueurs d'onde $\lambda$ du visible. Si on traçait en plus la courbe de correction pour une longueur d'onde $\lambda_p$ particulière, elle serait un peu différente de la courbe bleue. En reprenant les notations vues plus haut, cette correction particulière pour $\lambda_p$ serait $f(\theta,\lambda_p) \neq \cos(\theta)$.
-
Emmanuel Piat
- 67 dB
- Messages : 142
- Enregistré le : 11 janv. 2026, 11:26
Re: Les sondes de calibration
La partie de la lumière incidente qui arrive sur le correcteur cosinus et qui a la longueur d'onde $\lambda_p$ est corrigée par la réponse $f(\theta,\lambda_p)$ qui va éliminer des photons. Cette élimination dépend de l'angle d'incidence. Il résulte de cela que certains photons de longueur d'onde $\lambda_p$ ne parviendront pas à traverser le correcteur. Par exemple si $f(60°,\lambda_p) = 0.49$, seuls 49% des photons avec un angle d'incidence de 60° et la longueur d'onde $\lambda_p$ arriveront à traverser le correcteur (au lieu de 50% si le correcteur cosinus était parfait car $\cos(60°) = 0.5$).
Les "survivants" venant de chaque direction $\theta$ qui auront réussi à traverser le correcteur cosinus vont parvenir au grating qui va les dévier d'un angle proportionnel à $\lambda_p$ afin qu'ils "atterissent" tous sur le pixel $p$ du CCD. La valeur du spectre qui va ensuite s'afficher pour la longueur d'onde $\lambda_p$ est proportionnelle au nombre de survivants.
C'est la même chose pour chaque longueur d'onde à ceci-près que la correction $f(\theta,\lambda_p)$ est légèrement différente pour chaque $\lambda_p$. Donc si la source émet le même nombre de photons au départ pour chaque longueur d'onde, le nombre de photons qui est collecté à l'arrivée par le grating ne sera pas tout à fait le même pour chaque $\lambda_p$ : au lieu d'être plat, le spectre sera un peu déformé.
Que ce passe-t-il si on ajoute un tube avec un tout petit demi-angle d'ouverture $\theta_0$ ?
Dans ce cas, on restreint l'angle $\theta$ à $\pm \theta_0$. Toutes les fonctions $f(\theta,\lambda_p)$ sont alors quasiment les mêmes dans cet intervalle angulaire et valent quasiment toutes $\cos(\theta)$ (qui vaut lui-même quasiment 1 lorsque $\theta_0$ est vraiment petit : c'est comme si on enlevait la correction). Cela se voit bien sur la figure au-dessus. Donc si la source émet le même nombre de photons au départ pour chaque longueur d'onde, le nombre de photons qui est collecté à l'arrivée par le grating pour chaque $\lambda_p$ sera quasiment le même et le spectre sera quasiment plat.
La conséquent de tout ça, c'est que si on met un tube avec un petit $\theta_0$, on améliore la réponse spectrale et on améliore donc aussi le calcul de la chromaticité $(x,y)$. On peut espérer passer d'une précision de $\pm 0.0015$ à $\pm 0.001$ qui est celle du 350L.
Les "survivants" venant de chaque direction $\theta$ qui auront réussi à traverser le correcteur cosinus vont parvenir au grating qui va les dévier d'un angle proportionnel à $\lambda_p$ afin qu'ils "atterissent" tous sur le pixel $p$ du CCD. La valeur du spectre qui va ensuite s'afficher pour la longueur d'onde $\lambda_p$ est proportionnelle au nombre de survivants.
C'est la même chose pour chaque longueur d'onde à ceci-près que la correction $f(\theta,\lambda_p)$ est légèrement différente pour chaque $\lambda_p$. Donc si la source émet le même nombre de photons au départ pour chaque longueur d'onde, le nombre de photons qui est collecté à l'arrivée par le grating ne sera pas tout à fait le même pour chaque $\lambda_p$ : au lieu d'être plat, le spectre sera un peu déformé.
Que ce passe-t-il si on ajoute un tube avec un tout petit demi-angle d'ouverture $\theta_0$ ?
Dans ce cas, on restreint l'angle $\theta$ à $\pm \theta_0$. Toutes les fonctions $f(\theta,\lambda_p)$ sont alors quasiment les mêmes dans cet intervalle angulaire et valent quasiment toutes $\cos(\theta)$ (qui vaut lui-même quasiment 1 lorsque $\theta_0$ est vraiment petit : c'est comme si on enlevait la correction). Cela se voit bien sur la figure au-dessus. Donc si la source émet le même nombre de photons au départ pour chaque longueur d'onde, le nombre de photons qui est collecté à l'arrivée par le grating pour chaque $\lambda_p$ sera quasiment le même et le spectre sera quasiment plat.
La conséquent de tout ça, c'est que si on met un tube avec un petit $\theta_0$, on améliore la réponse spectrale et on améliore donc aussi le calcul de la chromaticité $(x,y)$. On peut espérer passer d'une précision de $\pm 0.0015$ à $\pm 0.001$ qui est celle du 350L.
Re: Les sondes de calibration
Salut Emmanuel,
Est-ce qu'il ne faudrait pas tenir compte de la sensibilité du diffuseur à la longueur d'onde selon l'angle d'incidence ?
Normalement, elle est très faible, voire nulle, mais il suffit de la vérifier.
Pour cela on affiche un point blanc sur notre écran, assez petit pour qu'il couvre un angle d'incidence précis, mais assez grand pour émettre suffisamment de lumière. Et on affiche son spectre pour différentes orientations de l'appareil.
Voici deux exemples :
Ici, à travers un sac en plastique blanc, on a une forte diffusion de la lumière bleue aux angles théta élevés, tandis que la lumière transmise est très jaune. Cette plaque en plastique peinte en blanc, par contre, diffuse uniformément la lumière. On n'observe aucun jaunissement à théta=0.
Le problème, si on fixe un tube devant le diffuseur, est qu'on pourrait privilégier un angle d'incidence plus jaune que la moyenne.
Rappelons le système d'axes qu'on utilise : Je reprends ta formule.
La formule devient
$$
E = L \cdot \left( \int_{0}^{2\pi} d\phi \right) \cdot \left( \int_{0}^{\theta_0} \cos\theta \cdot \sin\theta \cdot J(\theta, \lambda) \, d\theta \right).
$$
Si on trace la fonction $ \cos\theta \cdot \sin\theta$ de 0 à π/2, on constate que la majeure partie de l'intensité vient des angles intermédiaires :
Le spectro 350C sera donc calibré pour afficher un spectre correct lorsque la majeure partie de la lumière traverse le diffuseur selon un angle π/4.
$$
E \approx L \cdot \left( \int_{0}^{2\pi} d\phi \right) \cdot \left( \int_{0}^{\theta_0} \cos\theta \cdot \sin\theta \cdot J(\frac{\pi}{4}, \lambda) \, d\theta \right).
$$
Or nous, ce que nous voulons, c'est un spectre correct quand la lumière traverse le diffuseur selon un angle 0.
$$
E \approx L \cdot \left( \int_{0}^{2\pi} d\phi \right) \cdot \left( \int_{0}^{\theta_0} \cos\theta \cdot \sin\theta \cdot J(0, \lambda) \, d\theta \right).
$$
Selon la sensibilité du diffuseur à la longueur d'onde, cela pourra marcher du premier coup si $J(\frac{\pi}{4}, \lambda) = J(0, \lambda) \forall \lambda $ (exemple de la plaque en plastique qui ne modifie pas le spectre en fonction de theta) , ou cela nécessitera au contraire une correction qui compense la perte de bleu à theta=0 (exemple du sac en plastique), dans le cas où $J(\frac{\pi}{4}, \lambda) \neq J(0, \lambda) $
Est-ce qu'il ne faudrait pas tenir compte de la sensibilité du diffuseur à la longueur d'onde selon l'angle d'incidence ?
Normalement, elle est très faible, voire nulle, mais il suffit de la vérifier.
Pour cela on affiche un point blanc sur notre écran, assez petit pour qu'il couvre un angle d'incidence précis, mais assez grand pour émettre suffisamment de lumière. Et on affiche son spectre pour différentes orientations de l'appareil.
Voici deux exemples :
Ici, à travers un sac en plastique blanc, on a une forte diffusion de la lumière bleue aux angles théta élevés, tandis que la lumière transmise est très jaune. Cette plaque en plastique peinte en blanc, par contre, diffuse uniformément la lumière. On n'observe aucun jaunissement à théta=0.
Le problème, si on fixe un tube devant le diffuseur, est qu'on pourrait privilégier un angle d'incidence plus jaune que la moyenne.
Rappelons le système d'axes qu'on utilise : Je reprends ta formule.
Introduisons un terme $J(\theta, \lambda)$ pour représenter la sensibilité de la plaque blanche aux différentes longueurs d'onde $\lambda$ en fonction de l'angle d'incidence $\theta$.Emmanuel Piat a écrit : ↑26 févr. 2026, 20:55 Par ailleurs, on peut séparer les variables $\theta$ et $\phi$ dans la double intégrale qui devient de ce fait un produit de deux intégrales simples :
$$
E = L \cdot \left( \int_{0}^{2\pi} d\phi \right) \cdot \left( \int_{0}^{\theta_0} \cos\theta \cdot \sin\theta \, d\theta \right).
$$
La formule devient
$$
E = L \cdot \left( \int_{0}^{2\pi} d\phi \right) \cdot \left( \int_{0}^{\theta_0} \cos\theta \cdot \sin\theta \cdot J(\theta, \lambda) \, d\theta \right).
$$
Si on trace la fonction $ \cos\theta \cdot \sin\theta$ de 0 à π/2, on constate que la majeure partie de l'intensité vient des angles intermédiaires :
Le spectro 350C sera donc calibré pour afficher un spectre correct lorsque la majeure partie de la lumière traverse le diffuseur selon un angle π/4.
$$
E \approx L \cdot \left( \int_{0}^{2\pi} d\phi \right) \cdot \left( \int_{0}^{\theta_0} \cos\theta \cdot \sin\theta \cdot J(\frac{\pi}{4}, \lambda) \, d\theta \right).
$$
Or nous, ce que nous voulons, c'est un spectre correct quand la lumière traverse le diffuseur selon un angle 0.
$$
E \approx L \cdot \left( \int_{0}^{2\pi} d\phi \right) \cdot \left( \int_{0}^{\theta_0} \cos\theta \cdot \sin\theta \cdot J(0, \lambda) \, d\theta \right).
$$
Selon la sensibilité du diffuseur à la longueur d'onde, cela pourra marcher du premier coup si $J(\frac{\pi}{4}, \lambda) = J(0, \lambda) \forall \lambda $ (exemple de la plaque en plastique qui ne modifie pas le spectre en fonction de theta) , ou cela nécessitera au contraire une correction qui compense la perte de bleu à theta=0 (exemple du sac en plastique), dans le cas où $J(\frac{\pi}{4}, \lambda) \neq J(0, \lambda) $
Re: Les sondes de calibration
Il me vient un doute affreux...
Le spectro 350C mesure les spectres de lumières provenant d'une demi-sphère. Nous voulons mesurer les spectres de lumière provenant d'un cercle de 2° sur cette demi-sphère.
Cela représente environ un dix-millième de la surface angulaire d'une demi-sphère. Donc un signal environ dix mille fois plus faible que ce pour quoi le 350C est prévu.
Et si c'était ça, la différence de prix entre le 350C et le 350L ? Un capteur beaucoup plus sensible sur le 350L pour travailler à des intensités beaucoup plus faibles ?
Le spectro 350C mesure les spectres de lumières provenant d'une demi-sphère. Nous voulons mesurer les spectres de lumière provenant d'un cercle de 2° sur cette demi-sphère.
Cela représente environ un dix-millième de la surface angulaire d'une demi-sphère. Donc un signal environ dix mille fois plus faible que ce pour quoi le 350C est prévu.
Et si c'était ça, la différence de prix entre le 350C et le 350L ? Un capteur beaucoup plus sensible sur le 350L pour travailler à des intensités beaucoup plus faibles ?
Re: Les sondes de calibration
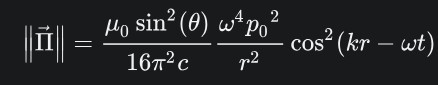
J'ai également jeté un oeil à la diffusion Rayleigh, qui explique pourquoi la lumière diffusée est plus bleue que la lumière transmise.
J'ai repris la formule donnant l'intensité diffusée dans wikipedia https://fr.wikipedia.org/wiki/Diffusion_Rayleigh
Je n'ai gardé que les termes en $\theta$ et en $\omega$, et j'ai considéré que le terme en cos2 (kr-wt) était une constante. Je pense qu'il représente l'oscillation du champ électromagnétique à la fréquence correspondant à la couleur considéré (de l'ordre du pétahertz).
J'ai posé $\omega = \frac{k}{\lambda}$ et tracé la fonction de deux variables $D(\theta, \lambda) = sin^{2}(\theta)\frac{1}{\lambda^{4}}$ pour différents $\lambda$ afin de voir quelle allure elle a.
On retrouve bien une diffusion du bleu supérieure au rouge. Maintenant, si on regarde la proportion de chaque couleur par rapport au total en traçant pour chaque $\theta$ la quantité
$$\frac{D(\theta, \lambda_{i})}{D(\theta, \lambda_{1}) + D(\theta, \lambda_{2}) + D(\theta, \lambda_{3}) + D(\theta, \lambda_{4}) + D(\theta, \lambda_{5})}$$
On obtient ceci :
La proportion de bleu diffusée est la même quel que soit $\theta$. Cela signifie que le ciel (dont la couleur est due à la diffusion Rayleigh) est du même bleu dans toutes les directions... du moins si on isole la composante due à la diffusion Rayleigh.
Cela ne nous avance pas beaucoup, car il est clair que la dépendance du spectre à l'angle de diffusion résulte d'un mélange entre une diffusion Rayleigh et d'autres types de diffusion.
On en revient à l'approche empirique : mesurer la sensibilité de l'appareil à l'angle d'incidence en faisant varier ce dernier avec une source ponctuelle, afin d'estimer si on a besoin d'introduire une correction ou pas.
J'ai repris la formule donnant l'intensité diffusée dans wikipedia https://fr.wikipedia.org/wiki/Diffusion_Rayleigh
Je n'ai gardé que les termes en $\theta$ et en $\omega$, et j'ai considéré que le terme en cos2 (kr-wt) était une constante. Je pense qu'il représente l'oscillation du champ électromagnétique à la fréquence correspondant à la couleur considéré (de l'ordre du pétahertz).
J'ai posé $\omega = \frac{k}{\lambda}$ et tracé la fonction de deux variables $D(\theta, \lambda) = sin^{2}(\theta)\frac{1}{\lambda^{4}}$ pour différents $\lambda$ afin de voir quelle allure elle a.
On retrouve bien une diffusion du bleu supérieure au rouge. Maintenant, si on regarde la proportion de chaque couleur par rapport au total en traçant pour chaque $\theta$ la quantité
$$\frac{D(\theta, \lambda_{i})}{D(\theta, \lambda_{1}) + D(\theta, \lambda_{2}) + D(\theta, \lambda_{3}) + D(\theta, \lambda_{4}) + D(\theta, \lambda_{5})}$$
On obtient ceci :
La proportion de bleu diffusée est la même quel que soit $\theta$. Cela signifie que le ciel (dont la couleur est due à la diffusion Rayleigh) est du même bleu dans toutes les directions... du moins si on isole la composante due à la diffusion Rayleigh.
Cela ne nous avance pas beaucoup, car il est clair que la dépendance du spectre à l'angle de diffusion résulte d'un mélange entre une diffusion Rayleigh et d'autres types de diffusion.
On en revient à l'approche empirique : mesurer la sensibilité de l'appareil à l'angle d'incidence en faisant varier ce dernier avec une source ponctuelle, afin d'estimer si on a besoin d'introduire une correction ou pas.